Официальное опубликование правовых актов
ОФИЦИАЛЬНОЕ ОПУБЛИКОВАНИЕ
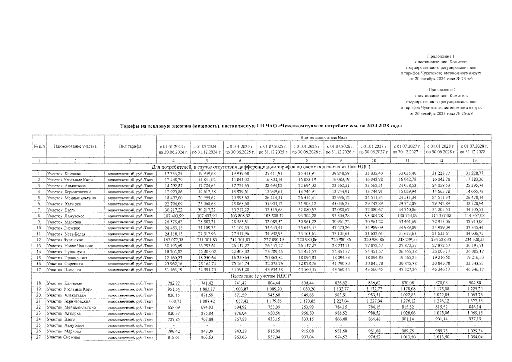
Постановление Комитета государственного регулирования цен и тарифов Чукотского автономного округа от 20.12.2024 № 23-э/6
"О внесении изменений в постановление Комитета государственного регулирования цен и тарифов Чукотского автономного округа от 20 декабря 2023 года № 26-э/8"
Номер опубликования: 8701202412250012
Дата опубликования: 25.12.2024
Страница №3 из 7:
Увеличить