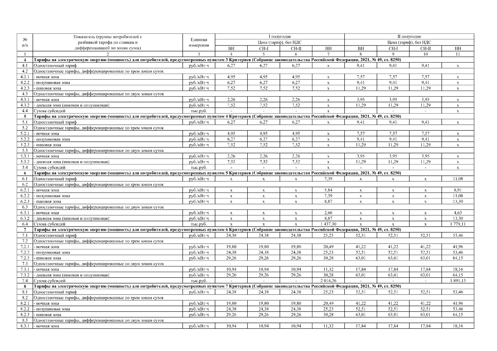
Постановление Комитета государственного регулирования цен и тарифов Чукотского автономного округа от 22.03.2024 № 4-э/3
"О внесении изменений в постановление Комитета государственного регулирования цен и тарифов Чукотского автономного округа от 15 декабря 2023 года № 21-э/5"
"О внесении изменений в постановление Комитета государственного регулирования цен и тарифов Чукотского автономного округа от 15 декабря 2023 года № 21-э/5"
Номер опубликования: 8701202403270003
Дата опубликования:
27.03.2024
