Официальное опубликование правовых актов
ОФИЦИАЛЬНОЕ ОПУБЛИКОВАНИЕ
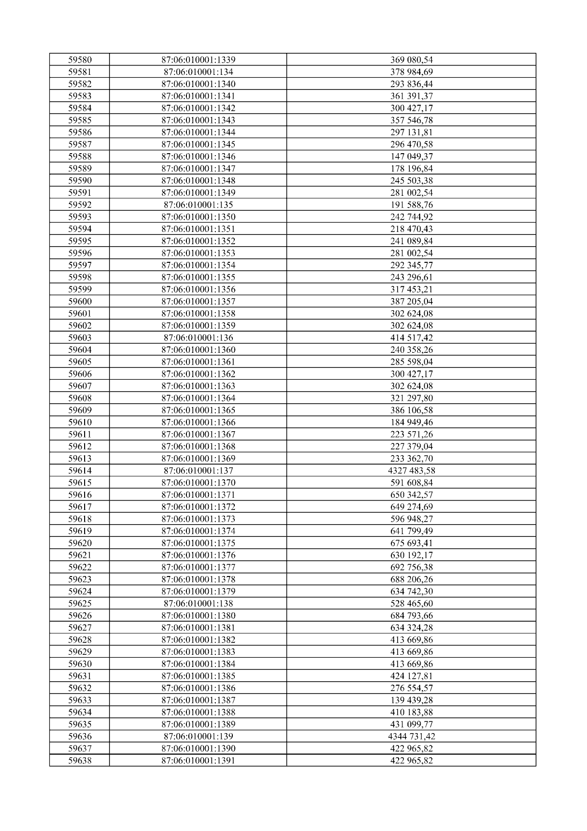
Приказ Департамента финансов, экономики и имущественных отношений Чукотского автономного округа от 02.11.2023 № 206
"Об утверждении результатов определения кадастровой стоимости объектов недвижимости (за исключением земельных участков), расположенных на территории Чукотского автономного округа"
Номер опубликования: 8701202311080001
Дата опубликования: 08.11.2023
Страница №1013 из 1119:
Увеличить