Официальное опубликование правовых актов
ОФИЦИАЛЬНОЕ ОПУБЛИКОВАНИЕ
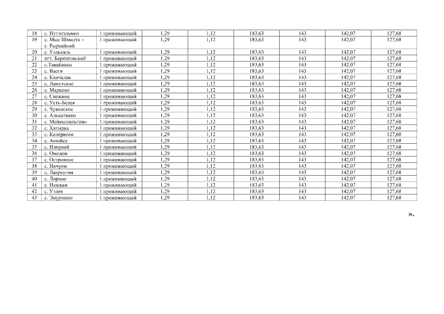
Приказ Департамента природных ресурсов и экологии Чукотского автономного округа от 30.11.2022 № 12
"О внесении изменений в приказ Департамента природных ресурсов и экологии Чукотского автономного округа от 1 августа 2022 года № 204-од"
Номер опубликования: 8701202212070001
Дата опубликования: 07.12.2022
Страница №4 из 5:
Увеличить