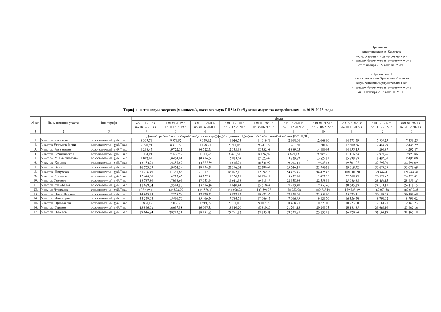
Постановление Комитета государственного регулирования цен и тарифов Чукотского автономного округа от 28.11.2022 № 25-э/11
"О внесении изменений в постановления Правления Комитета государственного регулирования цен и тарифов Чукотского автономного округа от 17 декабря 2018 года № 26-э/1, от 17 декабря 2018 года № 26-э/4"
"О внесении изменений в постановления Правления Комитета государственного регулирования цен и тарифов Чукотского автономного округа от 17 декабря 2018 года № 26-э/1, от 17 декабря 2018 года № 26-э/4"
Номер опубликования: 8701202212010018
Дата опубликования:
01.12.2022
