Официальное опубликование правовых актов
ОФИЦИАЛЬНОЕ ОПУБЛИКОВАНИЕ
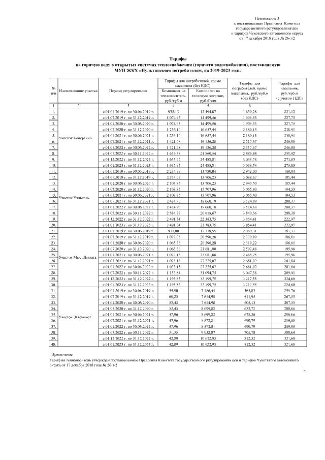
Постановление Комитета государственного регулирования цен и тарифов Чукотского автономного округа от 28.11.2022 № 25-э/6
"О внесении изменений в постановление Правления Комитета государственного регулирования цен и тарифов Чукотского автономного округа от 17 декабря 2018 года № 26-э/2"
Номер опубликования: 8701202212010008
Дата опубликования: 01.12.2022
Страница №5 из 5:
Увеличить