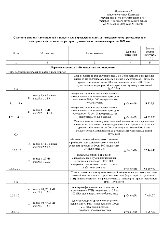
Постановление Комитета государственного регулирования цен и тарифов Чукотского автономного округа от 10.06.2022 № 11-э/1
"О внесении изменений в постановление Комитета государственного регулирования цен и тарифов Чукотского автономного округа от 28 декабря 2021 года № 30-э/14"
"О внесении изменений в постановление Комитета государственного регулирования цен и тарифов Чукотского автономного округа от 28 декабря 2021 года № 30-э/14"
Номер опубликования: 8701202206150002
Дата опубликования:
15.06.2022
