Постановление Комитета государственного регулирования цен и тарифов Чукотского автономного округа от 28.12.2021 № 30-э/10
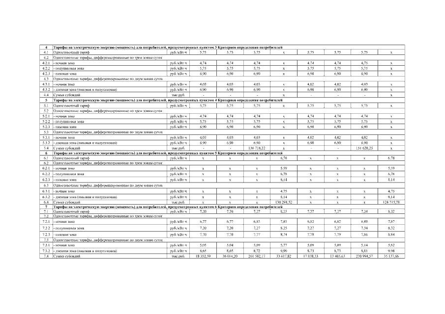
"Об установлении тарифов на электрическую энергию (мощность), поставляемую АО "Чукотэнерго" покупателям на розничном рынке Чукотского автономного округа, на 2022 год"
"Об установлении тарифов на электрическую энергию (мощность), поставляемую АО "Чукотэнерго" покупателям на розничном рынке Чукотского автономного округа, на 2022 год"
Номер опубликования: 8701202112310004
Дата опубликования:
31.12.2021
