Официальное опубликование правовых актов
ОФИЦИАЛЬНОЕ ОПУБЛИКОВАНИЕ
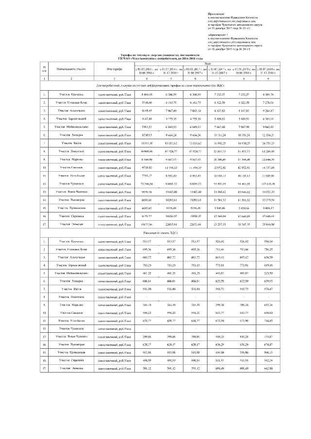
Постановление Правления Комитета государственного регулирования цен и тарифов Чукотского автономного округа от 15.12.2017 № 25-э/2
"О внесении изменений в постановление Правления Комитета государственного регулирования цен и тарифов Чукотского автономного округа от 18 декабря 2015 года № 24-э/1"
Номер опубликования: 8701201712200004
Дата опубликования: 20.12.2017
Страница №2 из 4:
Увеличить