Приказ Департамента финансов, экономики и имущественных отношений Чукотского автономного округа от 28.07.2017 № 55
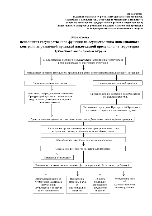
"Об утверждении Административного регламента Департамента финансов, экономики и имущественных отношений Чукотского автономного округа по исполнению государственной функции "Осуществление лицензионного контроля за розничной продажей алкогольной продукции на территории Чукотского автономного округа"
"Об утверждении Административного регламента Департамента финансов, экономики и имущественных отношений Чукотского автономного округа по исполнению государственной функции "Осуществление лицензионного контроля за розничной продажей алкогольной продукции на территории Чукотского автономного округа"
Номер опубликования: 8701201708030003
Дата опубликования:
03.08.2017
