Официальное опубликование правовых актов
ОФИЦИАЛЬНОЕ ОПУБЛИКОВАНИЕ
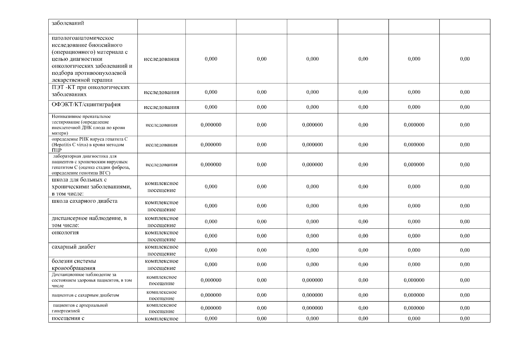
Постановление Правительства Чукотского автономного округа от 26.12.2025 № 679
"Об утверждении Территориальной программы государственных гарантий бесплатного оказания гражданам медицинской помощи на 2026 год и на плановый период 2027 и 2028 годов в Чукотском автономном округе"
Номер опубликования: 8700202512300021
Дата опубликования: 30.12.2025
Страница №278 из 444:
Увеличить