Официальное опубликование правовых актов
ОФИЦИАЛЬНОЕ ОПУБЛИКОВАНИЕ
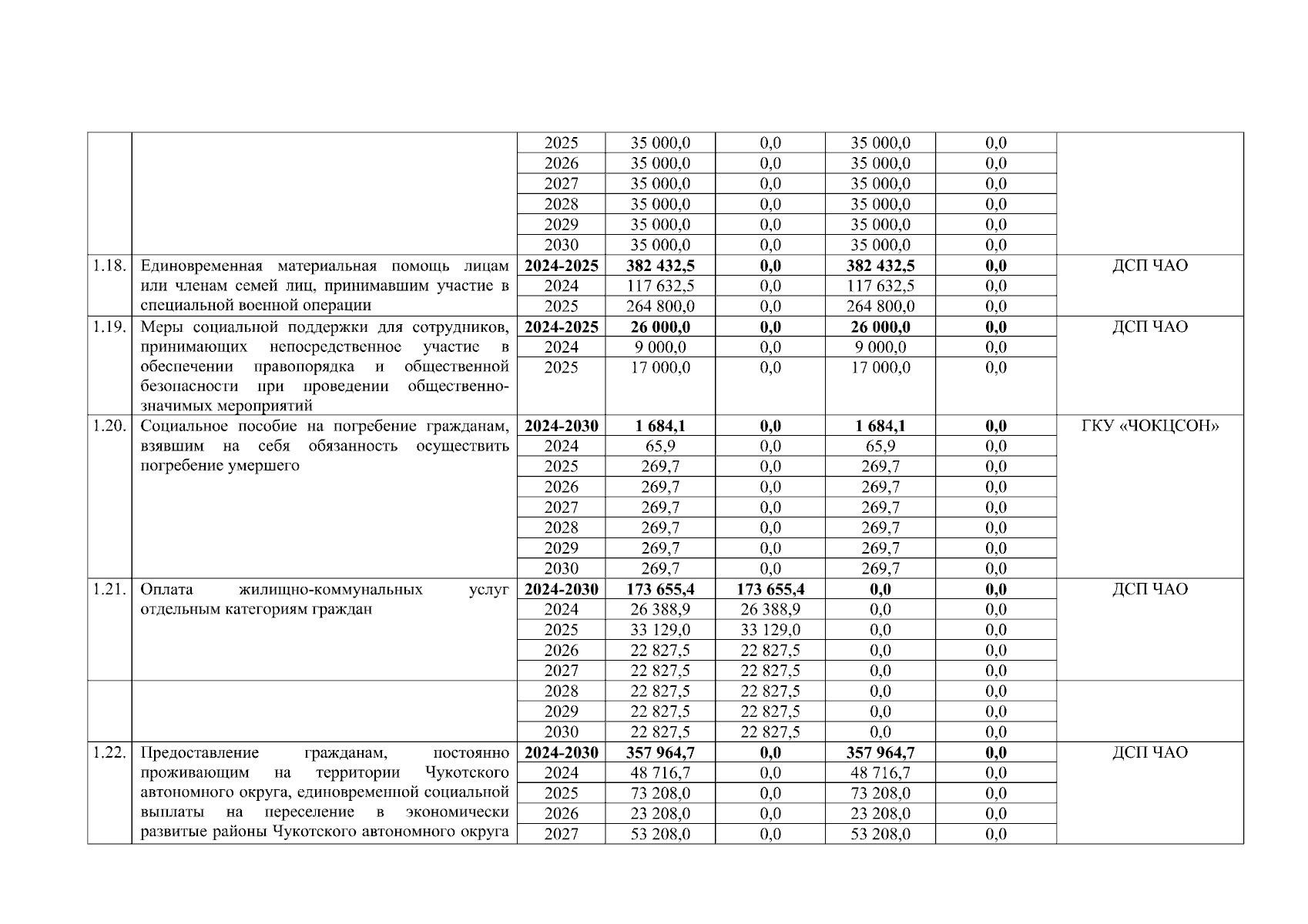
Постановление Правительства Чукотского автономного округа от 19.12.2025 № 673
"О внесении изменений в Приложение к Постановлению Правительства Чукотского автономного округа от 29 декабря 2023 года № 522"
Номер опубликования: 8700202512240008
Дата опубликования: 24.12.2025
Страница №12 из 22:
Увеличить