Официальное опубликование правовых актов
ОФИЦИАЛЬНОЕ ОПУБЛИКОВАНИЕ
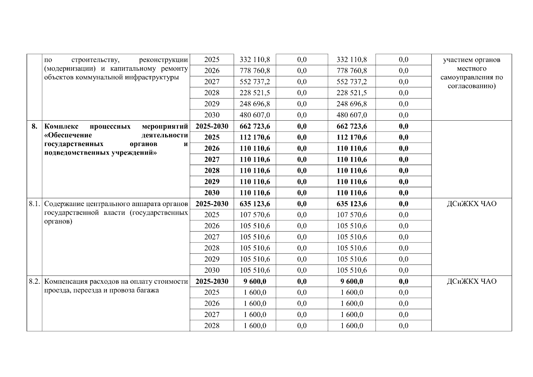
Постановление Правительства Чукотского автономного округа от 05.08.2025 № 472
"О внесении изменений в Постановление Правительства Чукотского автономного округа от 29 декабря 2023 года № 544 и признании утратившими силу некоторых постановлений Правительства Чукотского автономного округа"
Номер опубликования: 8700202508060001
Дата опубликования: 06.08.2025
Страница №6 из 12:
Увеличить