Официальное опубликование правовых актов
ОФИЦИАЛЬНОЕ ОПУБЛИКОВАНИЕ
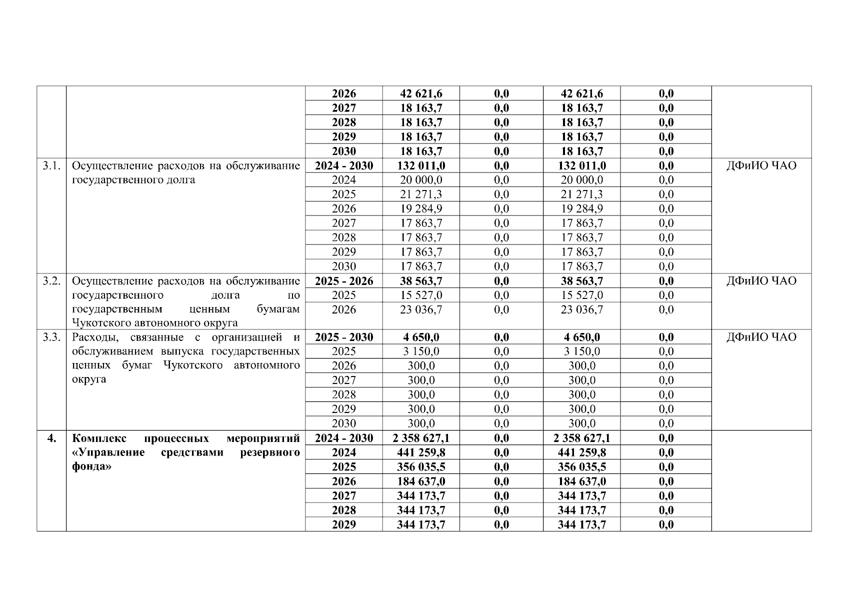
Постановление Правительства Чукотского автономного округа от 28.07.2025 № 455
"О внесении изменений в Постановление Правительства Чукотского автономного округа от 18 декабря 2023 года № 468"
Номер опубликования: 8700202507290010
Дата опубликования: 29.07.2025
Страница №5 из 11:
Увеличить