Официальное опубликование правовых актов
ОФИЦИАЛЬНОЕ ОПУБЛИКОВАНИЕ
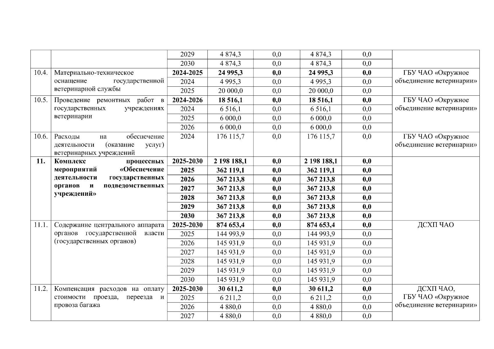
Постановление Правительства Чукотского автономного округа от 14.07.2025 № 422
"О внесении изменений в Приложение к Постановлению Правительства Чукотского автономного округа от 29 декабря 2023 года № 546"
Номер опубликования: 8700202507150008
Дата опубликования: 15.07.2025
Страница №17 из 21:
Увеличить