Официальное опубликование правовых актов
ОФИЦИАЛЬНОЕ ОПУБЛИКОВАНИЕ
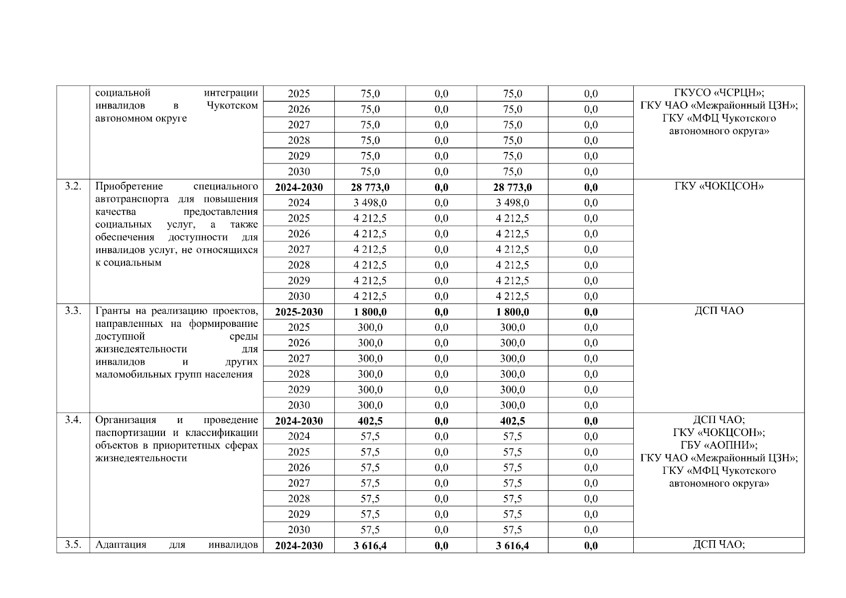
Постановление Правительства Чукотского автономного округа от 14.07.2025 № 426
"О внесении изменений в Приложение к Постановлению Правительства Чукотского автономного округа от 29 декабря 2023 года № 522"
Номер опубликования: 8700202507150004
Дата опубликования: 15.07.2025
Страница №20 из 25:
Увеличить