Официальное опубликование правовых актов
ОФИЦИАЛЬНОЕ ОПУБЛИКОВАНИЕ
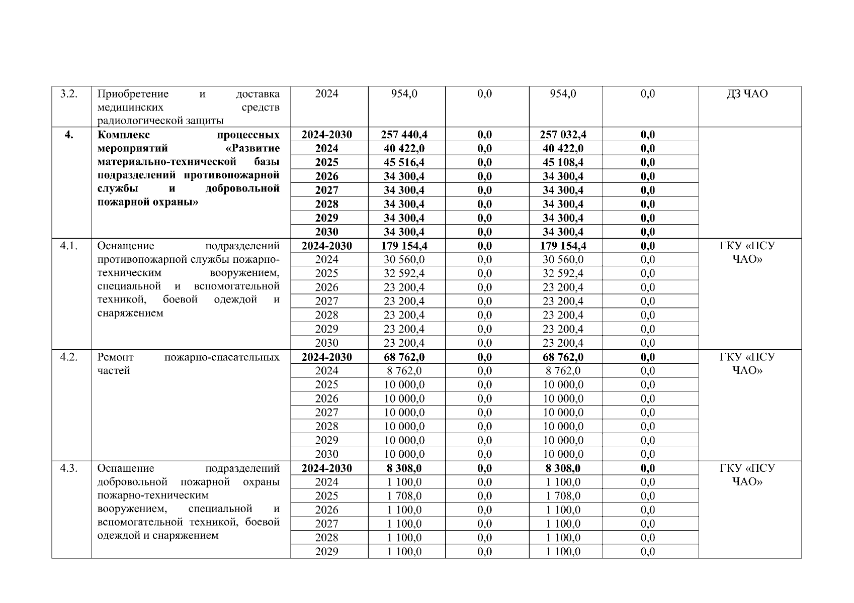
Постановление Правительства Чукотского автономного округа от 11.07.2025 № 408
"О внесении изменений в Постановление Правительства Чукотского автономного округа от 29 декабря 2023 года № 558 и признании утратившими силу некоторых постановлений Правительства Чукотского автономного округа"
Номер опубликования: 8700202507140003
Дата опубликования: 14.07.2025
Страница №6 из 10:
Увеличить