Официальное опубликование правовых актов
ОФИЦИАЛЬНОЕ ОПУБЛИКОВАНИЕ
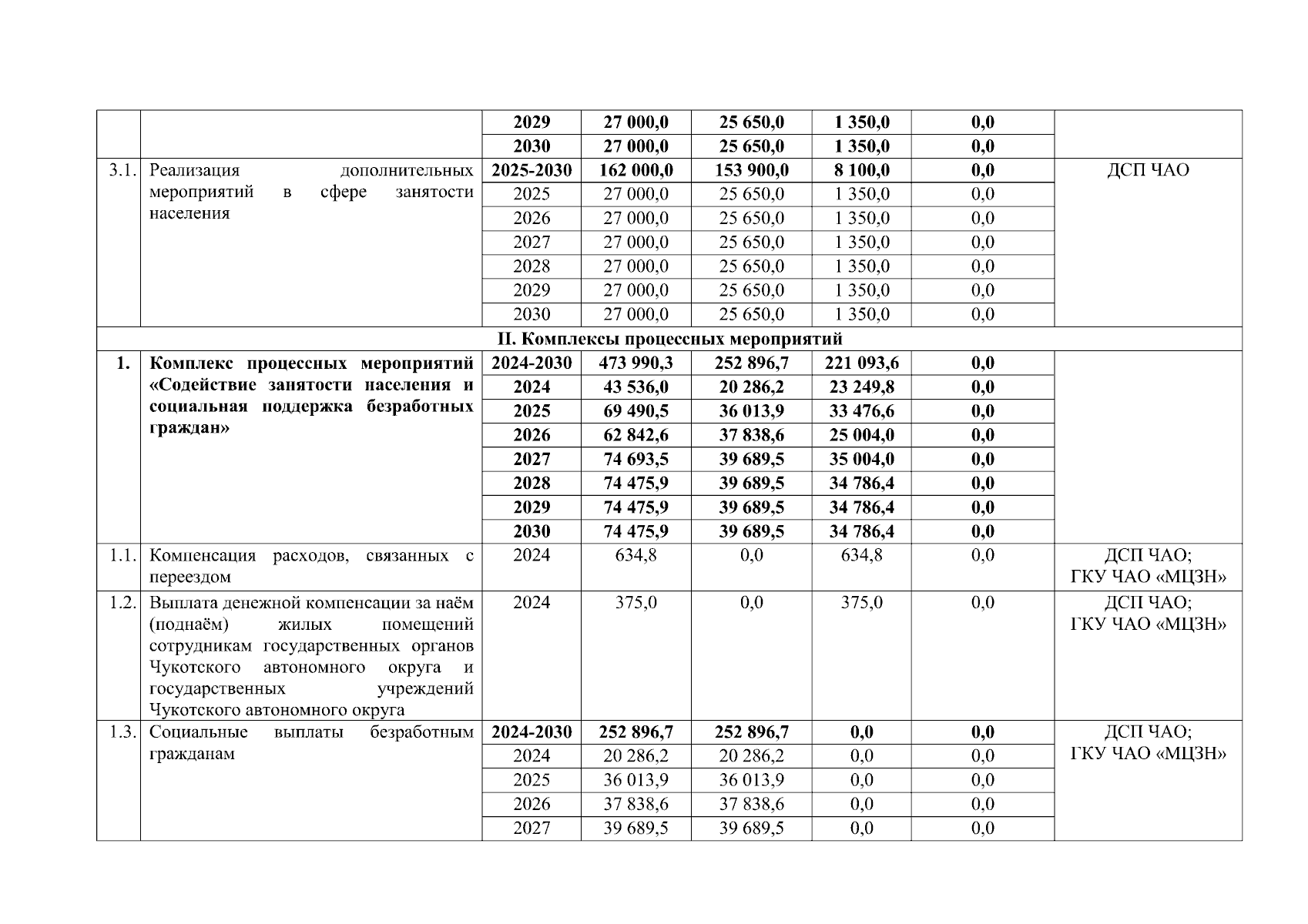
Постановление Правительства Чукотского автономного округа от 07.07.2025 № 395
"О внесении изменений в Приложение к Постановлению Правительства Чукотского автономного округа от 29 декабря 2023 года № 525"
Номер опубликования: 8700202507080012
Дата опубликования: 08.07.2025
Страница №3 из 8:
Увеличить