Официальное опубликование правовых актов
ОФИЦИАЛЬНОЕ ОПУБЛИКОВАНИЕ
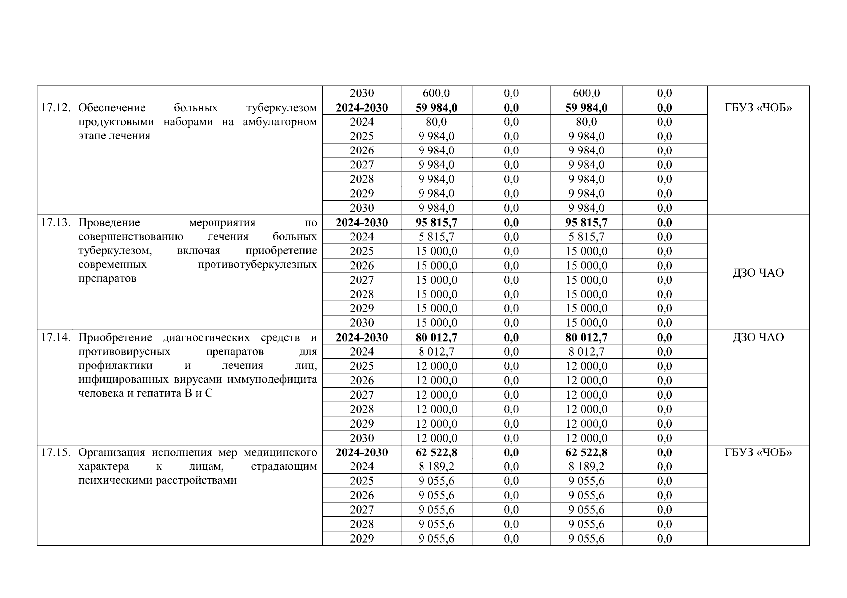
Постановление Правительства Чукотского автономного округа от 07.07.2025 № 397
"О внесении изменений в Приложение Постановление Правительства Чукотского автономного округа от 29 декабря 2023 года № 566"
Номер опубликования: 8700202507080010
Дата опубликования: 08.07.2025
Страница №14 из 27:
Увеличить