Официальное опубликование правовых актов
ОФИЦИАЛЬНОЕ ОПУБЛИКОВАНИЕ
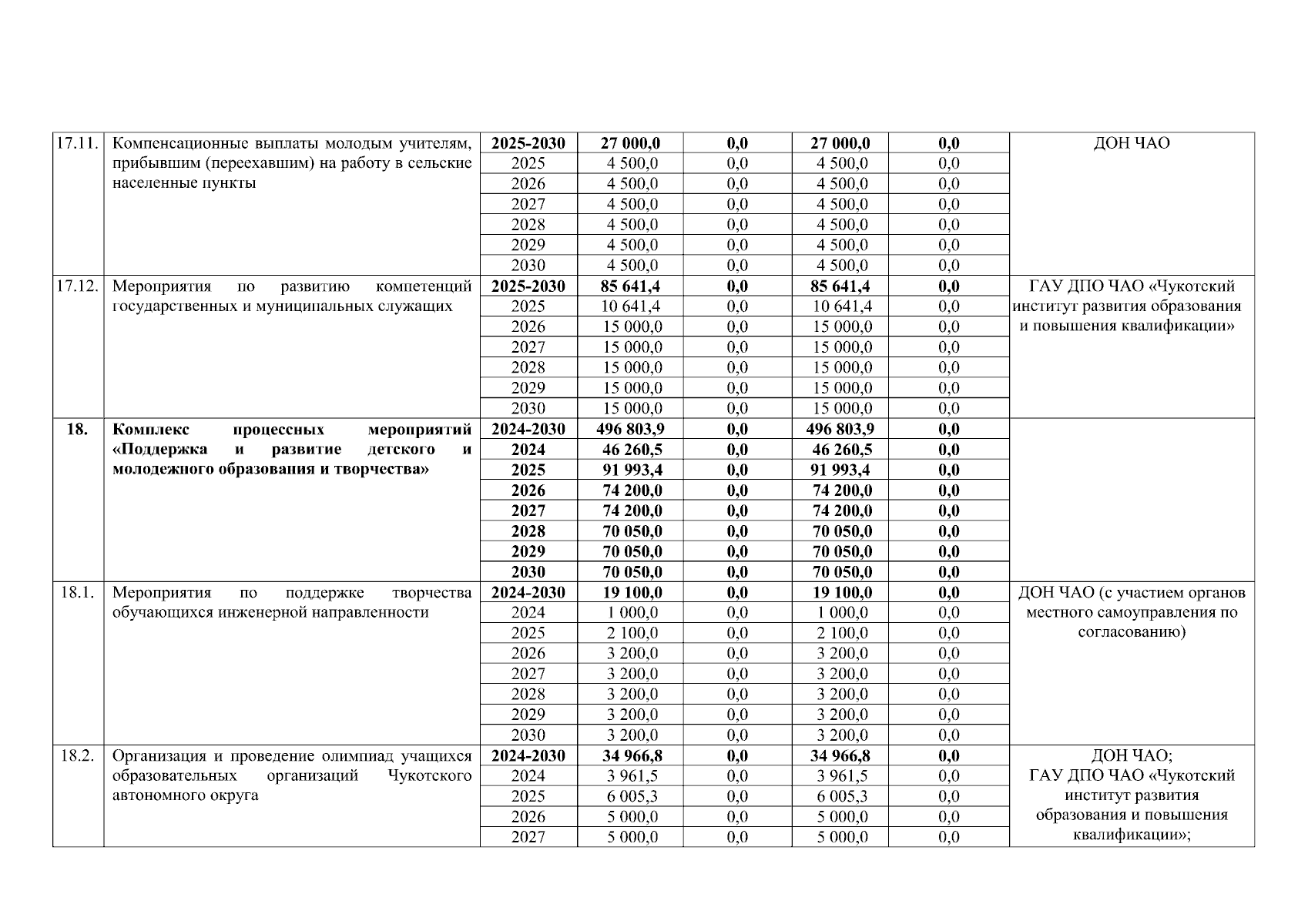
Постановление Правительства Чукотского автономного округа от 30.06.2025 № 383
"О внесении изменений в Приложение к Постановлению Правительства Чукотского автономного округа от 11 декабря 2023 года № 452"
Номер опубликования: 8700202507010013
Дата опубликования: 01.07.2025
Страница №23 из 33:
Увеличить