Официальное опубликование правовых актов
ОФИЦИАЛЬНОЕ ОПУБЛИКОВАНИЕ
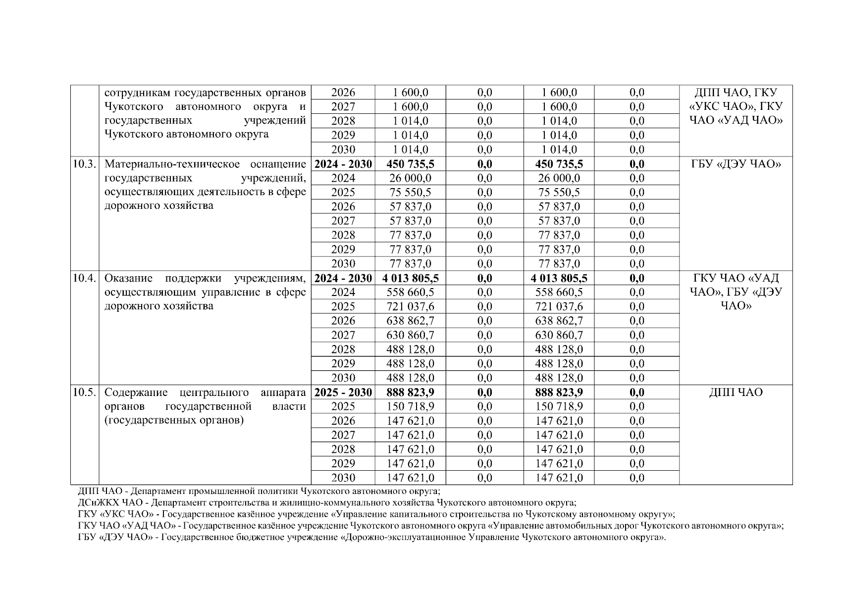
Постановление Правительства Чукотского автономного округа от 30.06.2025 № 385
"О внесении изменений в Постановление Правительства Чукотского автономного округа от 29 декабря 2023 года № 545"
Номер опубликования: 8700202507010008
Дата опубликования: 01.07.2025
Страница №13 из 15:
Увеличить