Официальное опубликование правовых актов
ОФИЦИАЛЬНОЕ ОПУБЛИКОВАНИЕ
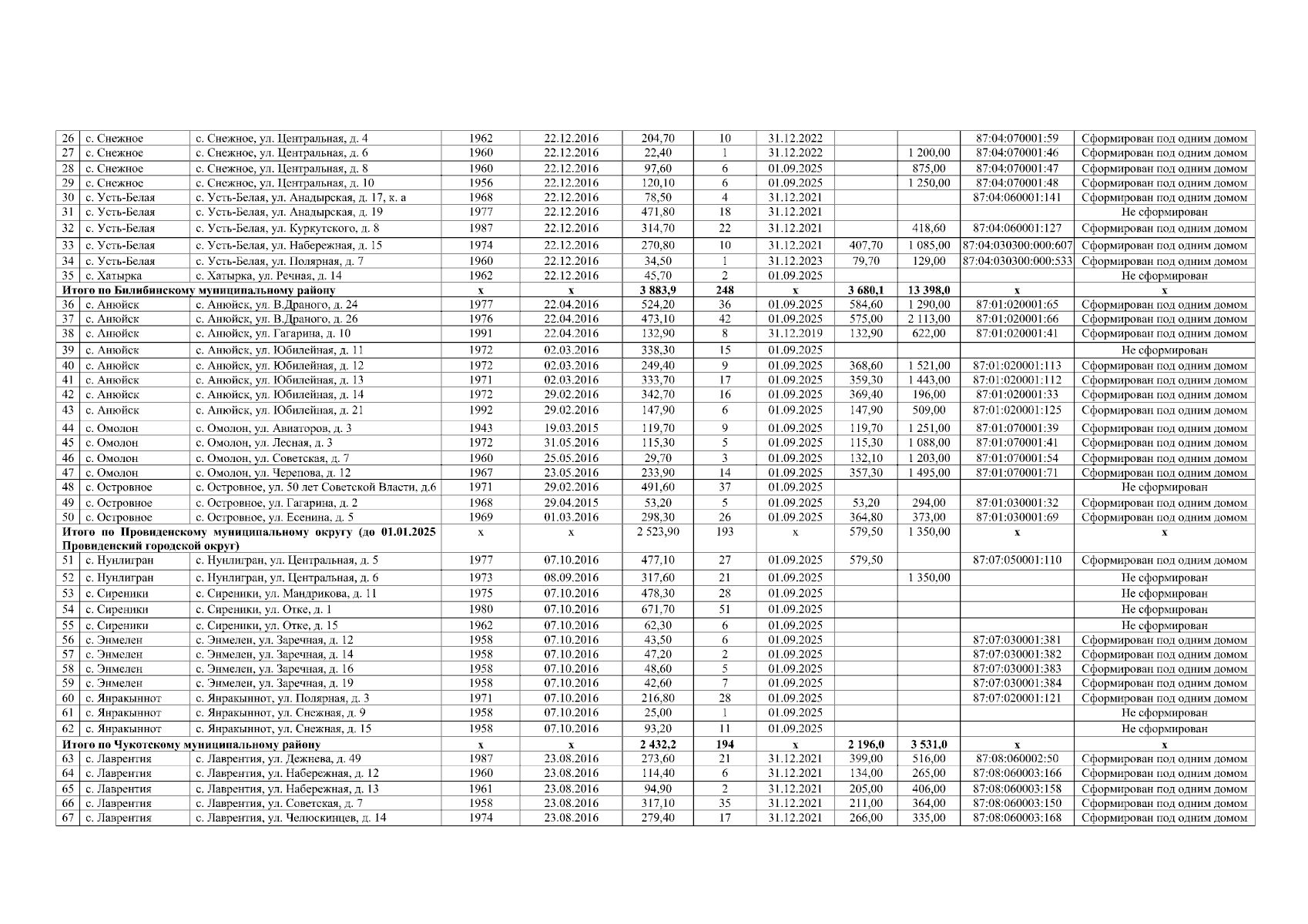
Постановление Правительства Чукотского автономного округа от 09.06.2025 № 344
"О внесении изменений в Постановление Правительства Чукотского автономного округа от 29 декабря 2023 года № 540"
Номер опубликования: 8700202506100005
Дата опубликования: 10.06.2025
Страница №25 из 36:
Увеличить