Официальное опубликование правовых актов
ОФИЦИАЛЬНОЕ ОПУБЛИКОВАНИЕ
Постановление Правительства Чукотского автономного округа от 02.06.2025 № 317
"О внесении изменений в Постановление Правительства Чукотского автономного округа от 28 декабря 2024 года № 531"
Номер опубликования: 8700202506030006
Дата опубликования: 03.06.2025
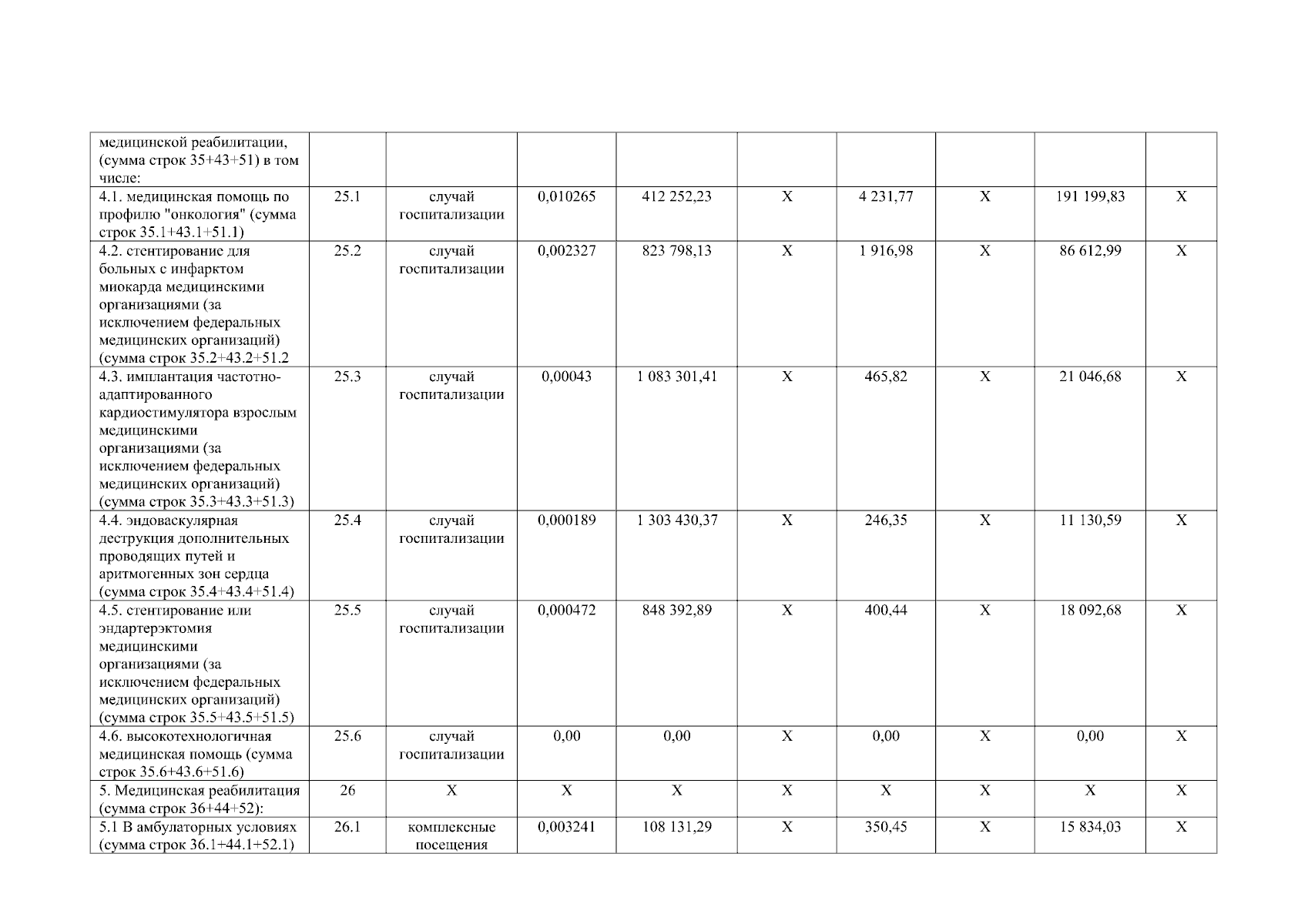
Страница №41 из 132:
Увеличить