Официальное опубликование правовых актов
ОФИЦИАЛЬНОЕ ОПУБЛИКОВАНИЕ
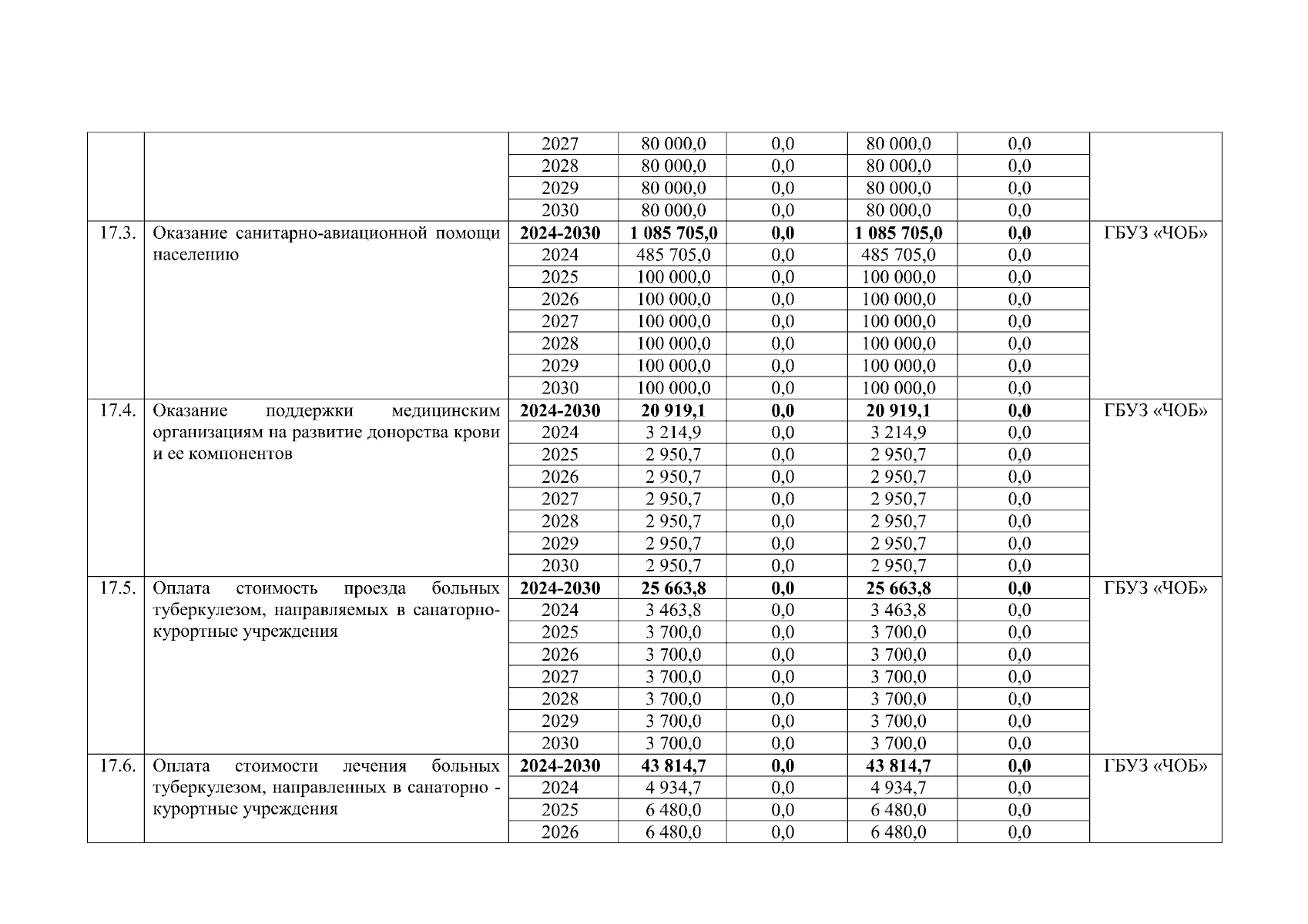
Постановление Правительства Чукотского автономного округа от 25.04.2025 № 249
"О внесении изменений в Постановление Правительства Чукотского автономного округа от 29 декабря 2023 года № 519"
Номер опубликования: 8700202504280008
Дата опубликования: 28.04.2025
Страница №12 из 27:
Увеличить