Официальное опубликование правовых актов
ОФИЦИАЛЬНОЕ ОПУБЛИКОВАНИЕ
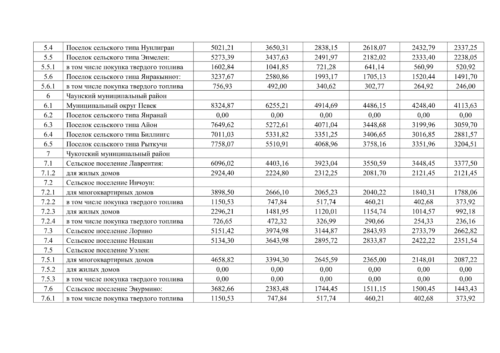
Постановление Правительства Чукотского автономного округа от 04.04.2025 № 205
"Об установлении региональных стандартов стоимости жилищно-коммунальных услуг, используемых для расчёта субсидий на оплату жилого помещения и коммунальных услуг в 2025 году"
Номер опубликования: 8700202504070016
Дата опубликования: 07.04.2025
Страница №14 из 20:
Увеличить