Официальное опубликование правовых актов
ОФИЦИАЛЬНОЕ ОПУБЛИКОВАНИЕ
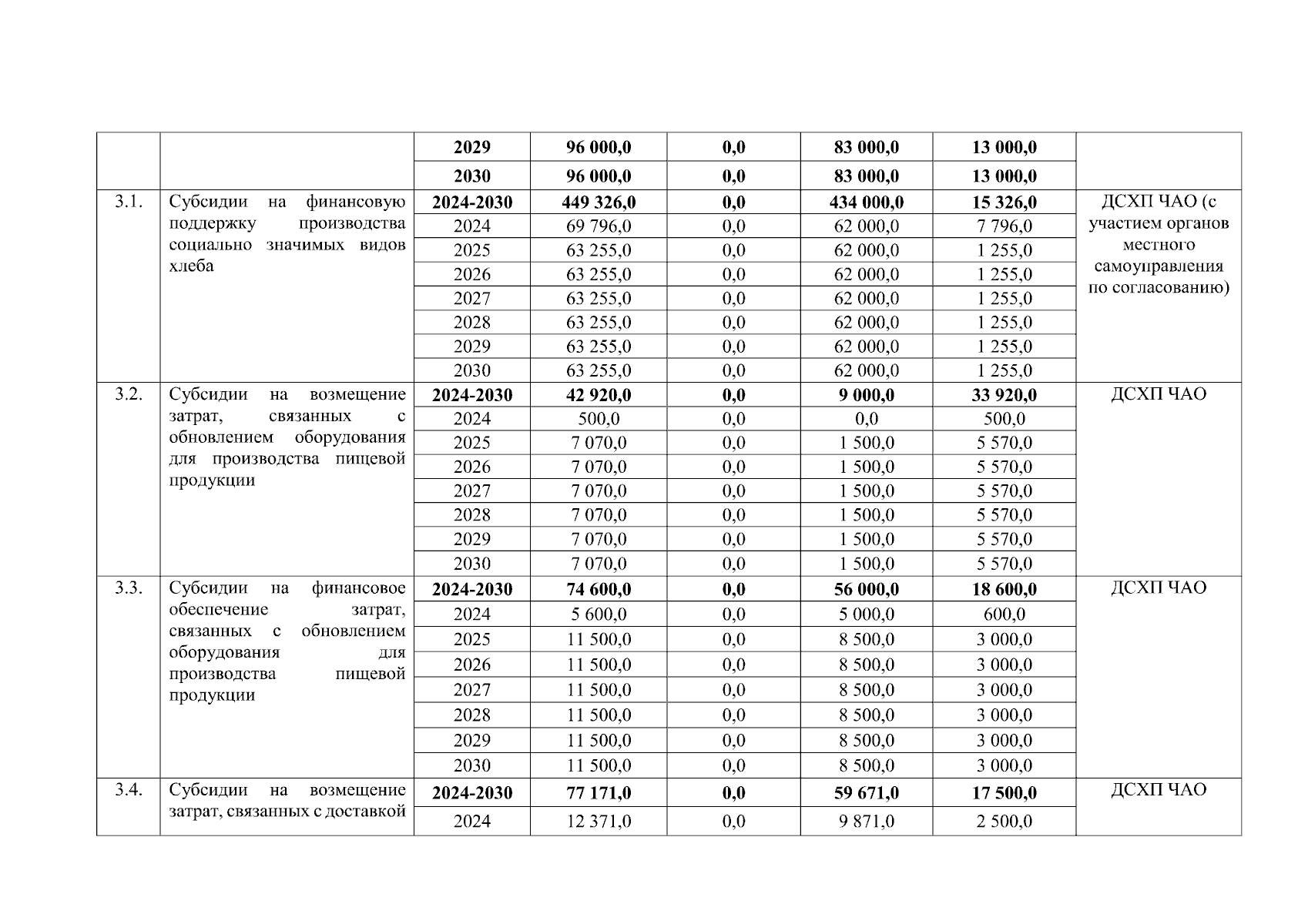
Постановление Правительства Чукотского автономного округа от 04.04.2025 № 201
"О внесении изменений в Постановление Правительства Чукотского автономного округа от 29 декабря 2023 года № 537"
Номер опубликования: 8700202504070012
Дата опубликования: 07.04.2025
Страница №8 из 20:
Увеличить