Официальное опубликование правовых актов
ОФИЦИАЛЬНОЕ ОПУБЛИКОВАНИЕ
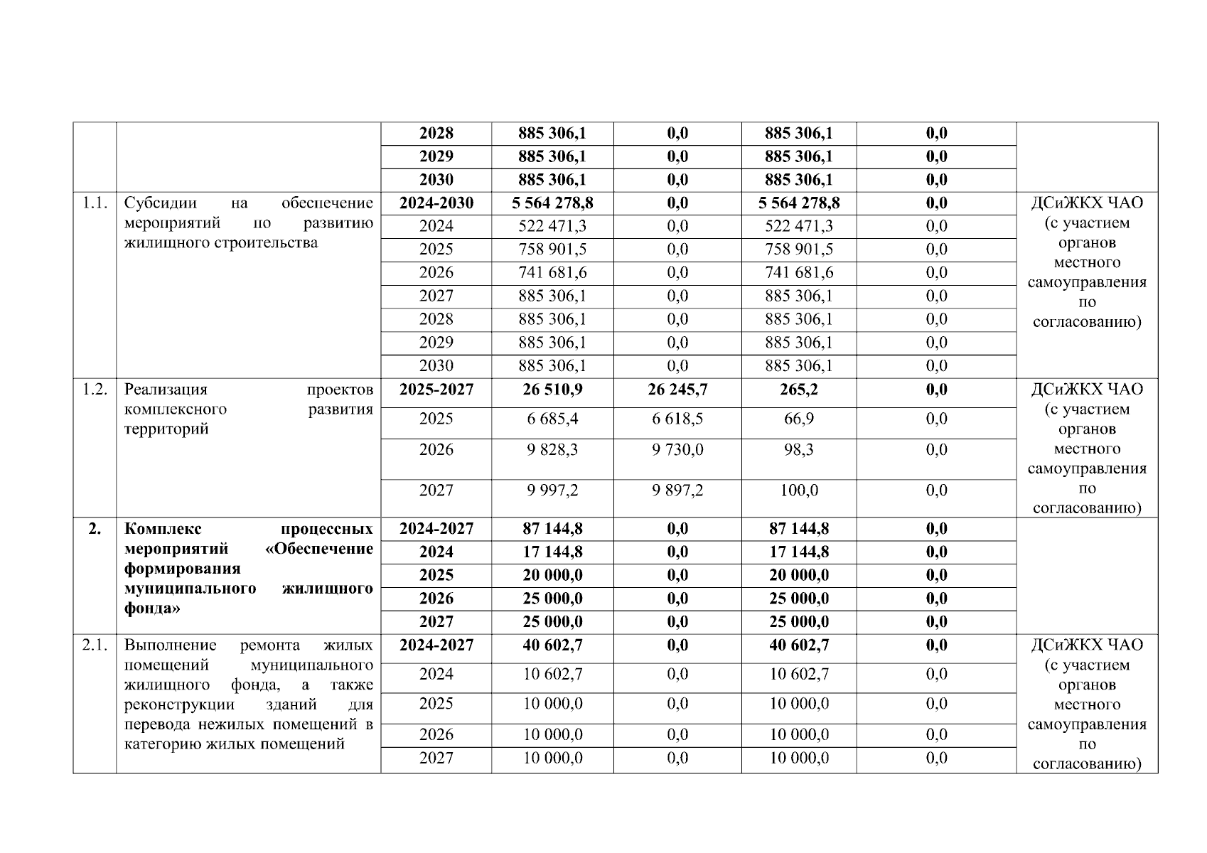
Постановление Правительства Чукотского автономного округа от 31.03.2025 № 189
"О внесении изменения в Постановление Правительства Чукотского автономного округа от 29 декабря 2023 года № 563"
Номер опубликования: 8700202504010003
Дата опубликования: 01.04.2025
Страница №3 из 8:
Увеличить