Официальное опубликование правовых актов
ОФИЦИАЛЬНОЕ ОПУБЛИКОВАНИЕ
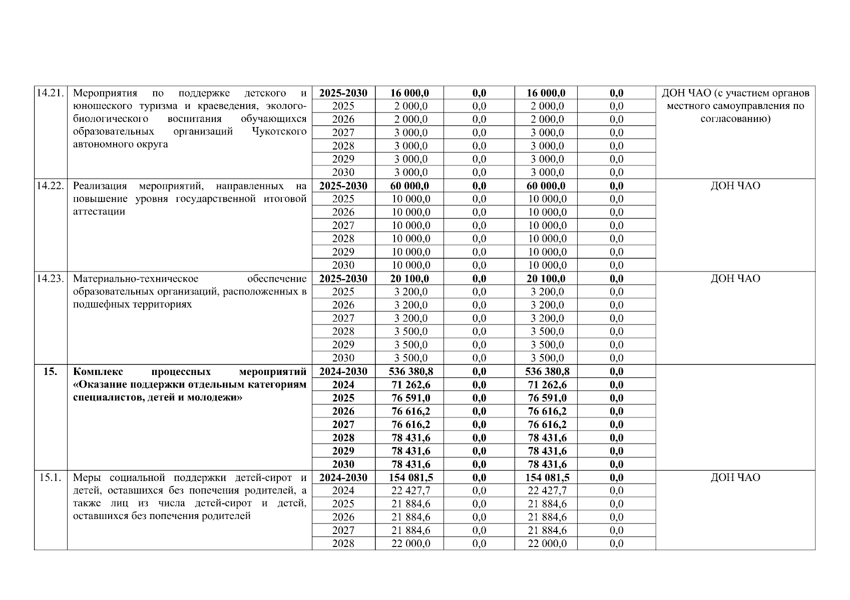
Постановление Правительства Чукотского автономного округа от 24.02.2025 № 97
"О внесении изменений в Постановление Правительства Чукотского автономного округа от 29 декабря 2023 года № 536"
Номер опубликования: 8700202502240001
Дата опубликования: 24.02.2025
Страница №13 из 28:
Увеличить