Официальное опубликование правовых актов
ОФИЦИАЛЬНОЕ ОПУБЛИКОВАНИЕ
Постановление Правительства Чукотского автономного округа от 17.01.2025 № 10
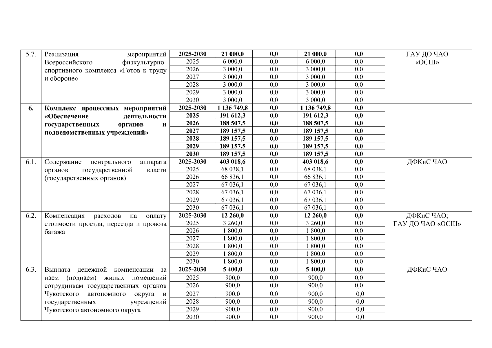
"Об утверждении перечня расходных обязательств Государственной программы "Развитие физической культуры и спорта Чукотского автономного округа"
Номер опубликования: 8700202501170005
Дата опубликования: 17.01.2025
Страница №7 из 8:
Увеличить