Официальное опубликование правовых актов
ОФИЦИАЛЬНОЕ ОПУБЛИКОВАНИЕ
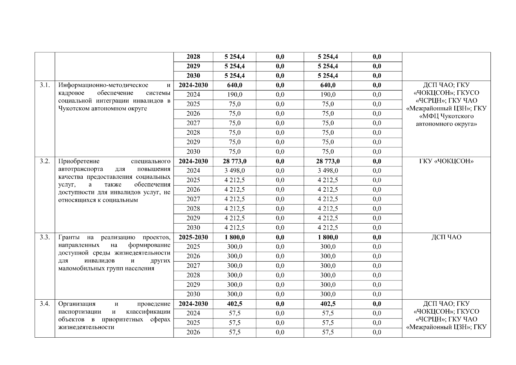
Постановление Правительства Чукотского автономного округа от 17.01.2025 № 11
"О внесении изменения в Постановление Правительства Чукотского автономного округа от 29 декабря 2023 года № 543"
Номер опубликования: 8700202501170003
Дата опубликования: 17.01.2025
Страница №20 из 24:
Увеличить