Официальное опубликование правовых актов
ОФИЦИАЛЬНОЕ ОПУБЛИКОВАНИЕ
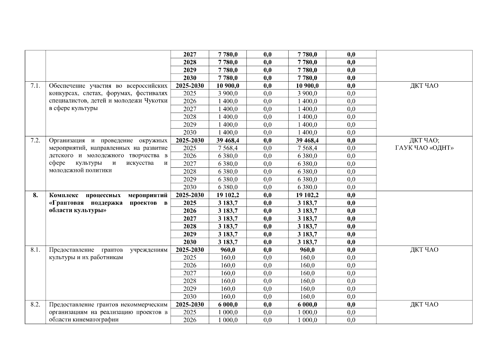
Постановление Правительства Чукотского автономного округа от 13.01.2025 № 1
"Об утверждении перечня расходных обязательств Государственной программы "Развитие культуры и туризма Чукотского автономного округа"
Номер опубликования: 8700202501130001
Дата опубликования: 13.01.2025
Страница №9 из 15:
Увеличить