Официальное опубликование правовых актов
ОФИЦИАЛЬНОЕ ОПУБЛИКОВАНИЕ
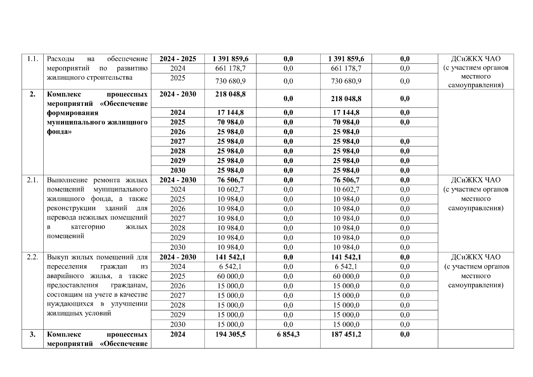
Постановление Правительства Чукотского автономного округа от 25.11.2024 № 412
"О внесении изменения в Постановление Правительства Чукотского автономного округа от 29 декабря 2023 года № 563"
Номер опубликования: 8700202411260021
Дата опубликования: 26.11.2024
Страница №3 из 7:
Увеличить