Официальное опубликование правовых актов
ОФИЦИАЛЬНОЕ ОПУБЛИКОВАНИЕ
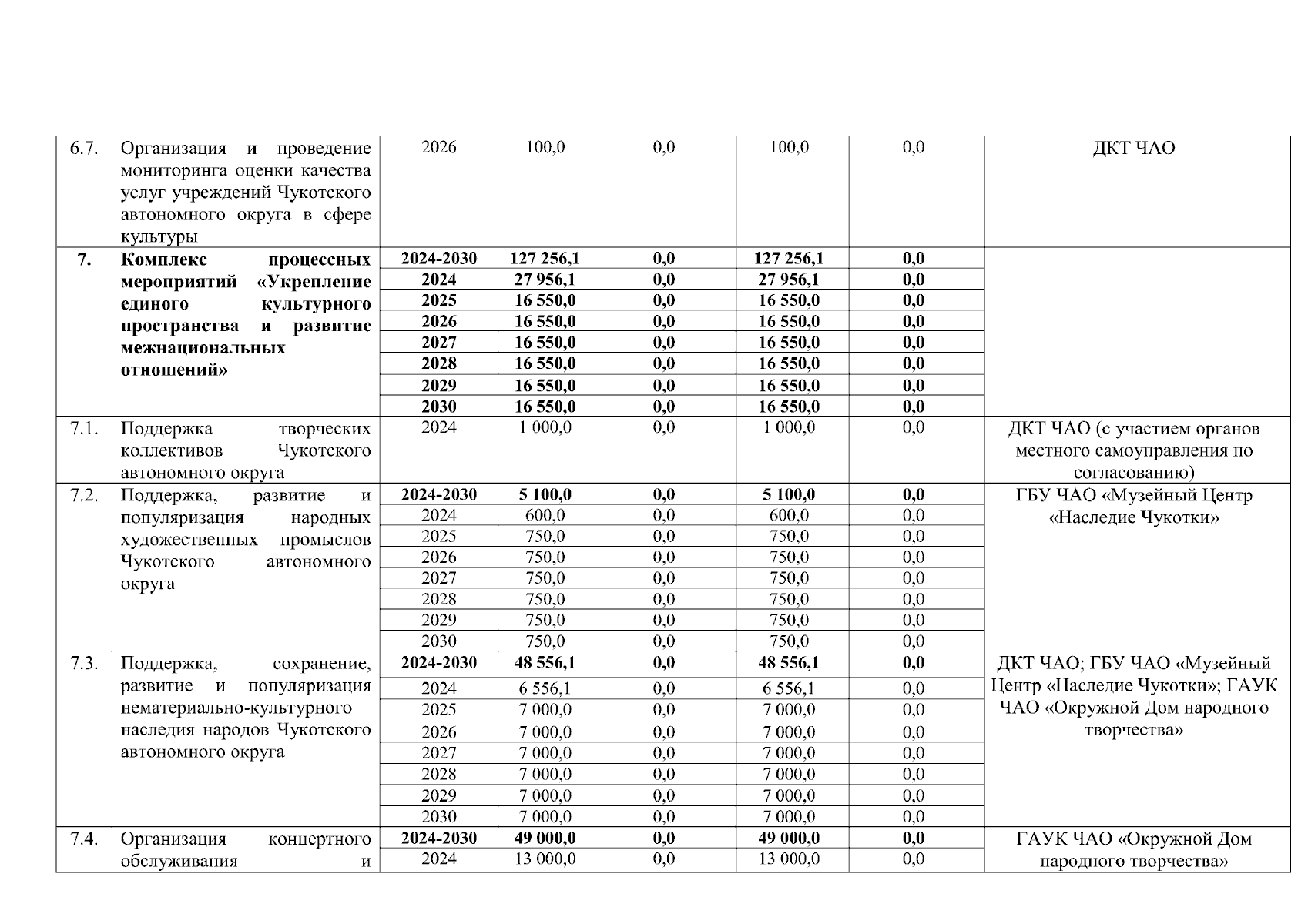
Постановление Правительства Чукотского автономного округа от 08.10.2024 № 355
"О внесении изменений в Постановление Правительства Чукотского автономного округа от 29 декабря 2023 года № 531"
Номер опубликования: 8700202410100003
Дата опубликования: 10.10.2024
Страница №9 из 21:
Увеличить