Официальное опубликование правовых актов
ОФИЦИАЛЬНОЕ ОПУБЛИКОВАНИЕ
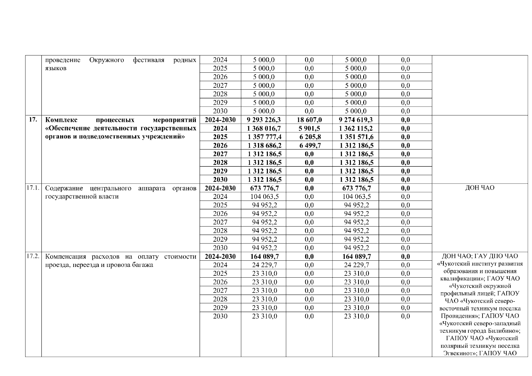
Постановление Правительства Чукотского автономного округа от 08.10.2024 № 356
"О внесении изменений в Постановление Правительства Чукотского автономного округа от 29 декабря 2023 года № 536"
Номер опубликования: 8700202410100002
Дата опубликования: 10.10.2024
Страница №21 из 23:
Увеличить