Официальное опубликование правовых актов
ОФИЦИАЛЬНОЕ ОПУБЛИКОВАНИЕ
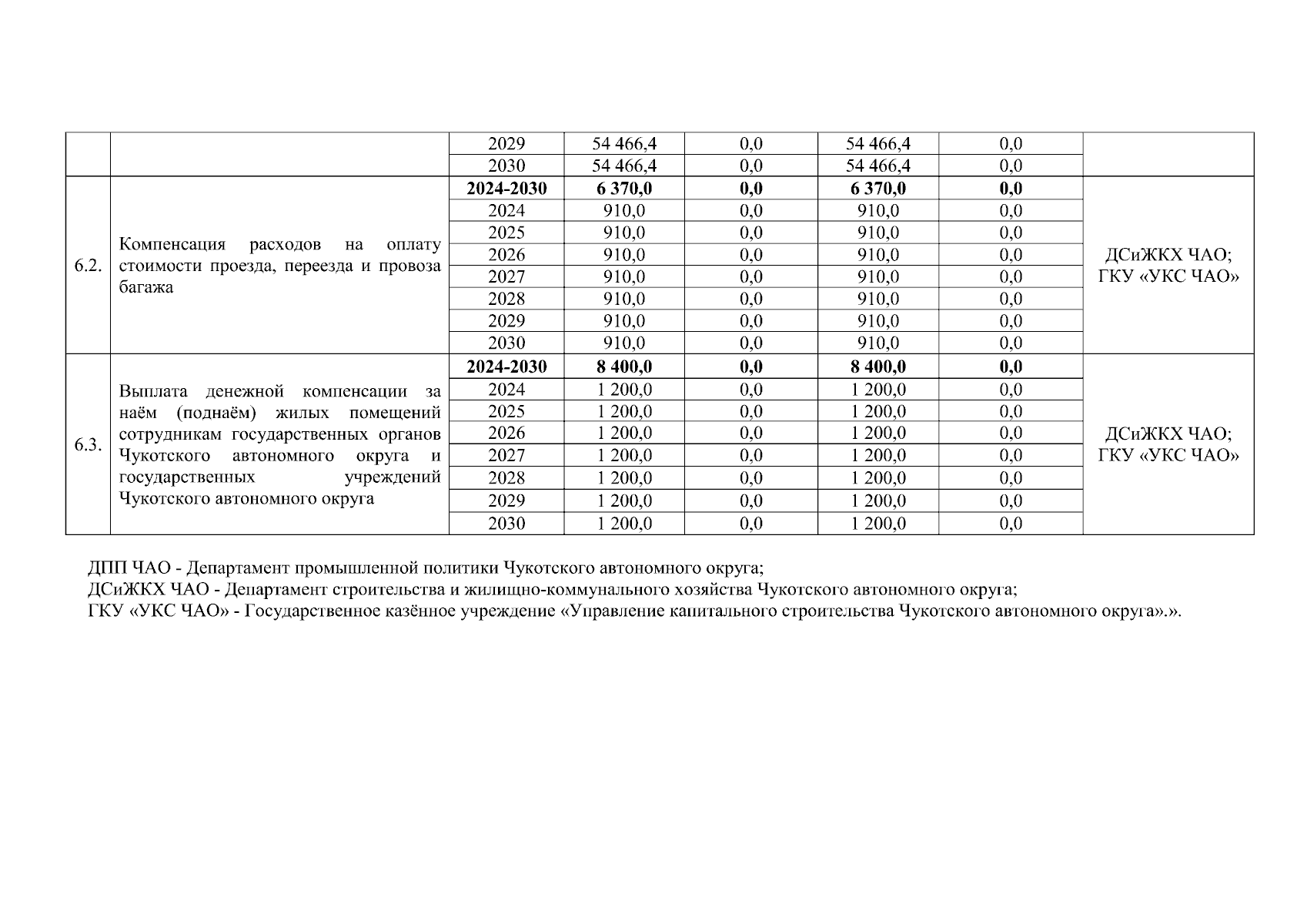
Постановление Правительства Чукотского автономного округа от 30.08.2024 № 297
"О внесении изменения в Постановление Правительства Чукотского автономного округа от 29 декабря 2023 года № 542"
Номер опубликования: 8700202409020004
Дата опубликования: 02.09.2024
Страница №5 из 5:
Увеличить