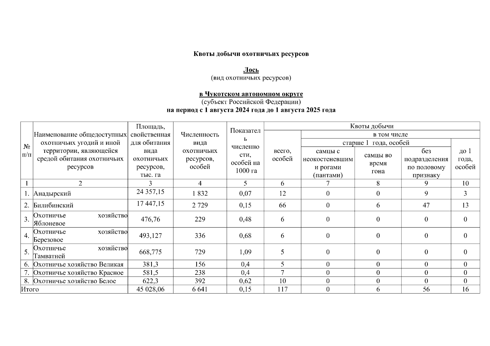
Постановление Губернатора Чукотского автономного округа от 29.07.2024 № 133
"Об утверждении лимитов и квот добычи охотничьих ресурсов на территории Чукотского автономного округа, за исключением таких лимитов и квот в отношении охотничьих ресурсов, находящихся на особо охраняемых природных территориях федерального значения, на период с 1 августа 2024 года до 1 августа 2025 года"
"Об утверждении лимитов и квот добычи охотничьих ресурсов на территории Чукотского автономного округа, за исключением таких лимитов и квот в отношении охотничьих ресурсов, находящихся на особо охраняемых природных территориях федерального значения, на период с 1 августа 2024 года до 1 августа 2025 года"
Номер опубликования: 8700202407310007
Дата опубликования:
31.07.2024
