Постановление Правительства Чукотского автономного округа от 12.07.2024 № 226
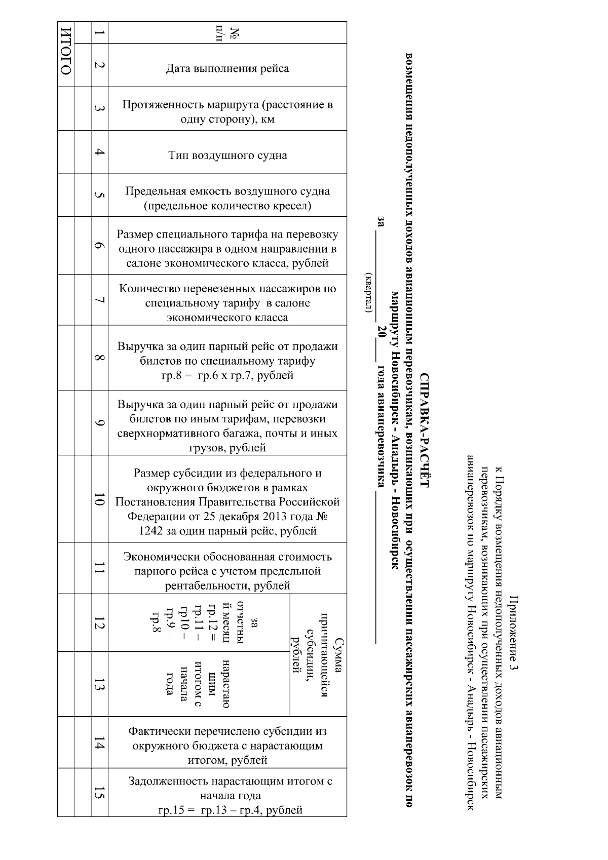
"Об утверждении Порядка возмещения недополученных доходов авиационным перевозчикам, возникающих при осуществлении пассажирских авиаперевозок по маршруту Новосибирск - Анадырь - Новосибирск"
"Об утверждении Порядка возмещения недополученных доходов авиационным перевозчикам, возникающих при осуществлении пассажирских авиаперевозок по маршруту Новосибирск - Анадырь - Новосибирск"
Номер опубликования: 8700202407160005
Дата опубликования:
16.07.2024
