Официальное опубликование правовых актов
ОФИЦИАЛЬНОЕ ОПУБЛИКОВАНИЕ
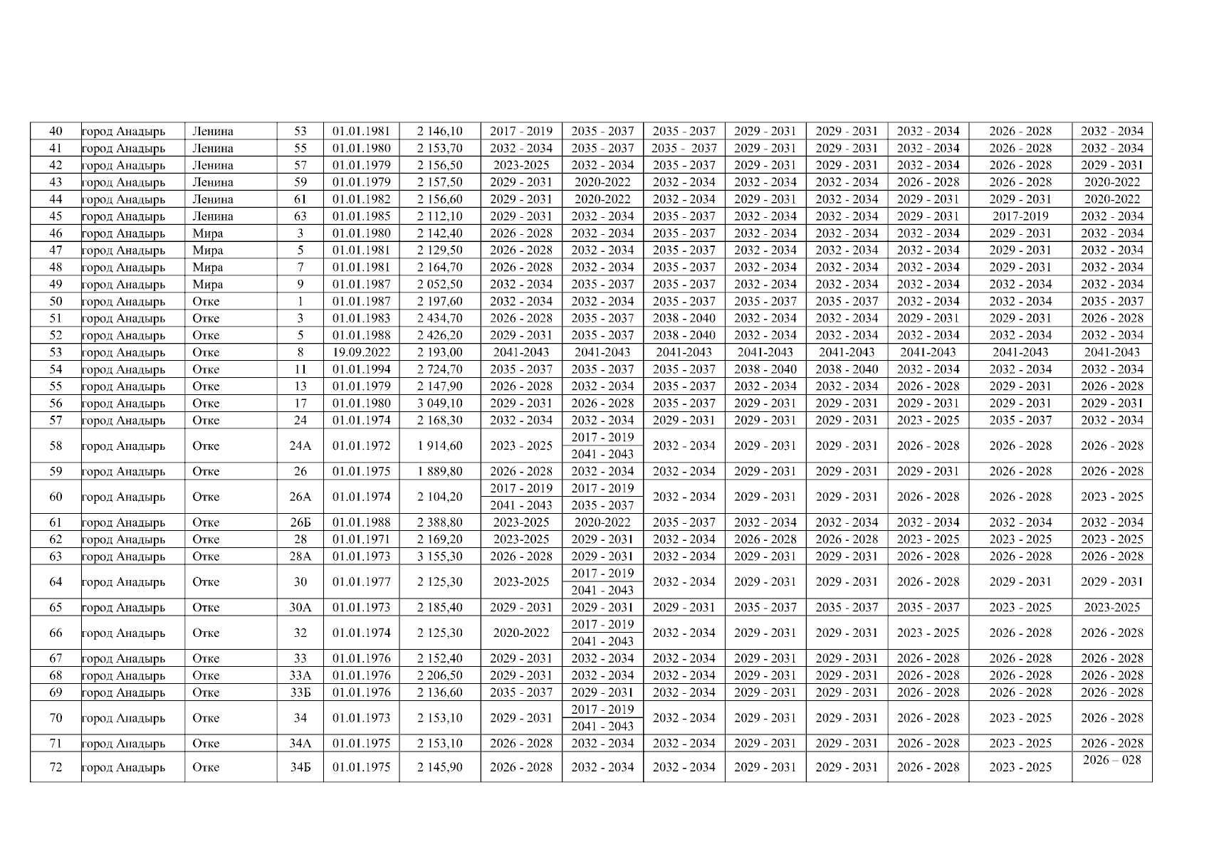
Постановление Правительства Чукотского автономного округа от 15.07.2024 № 228
"О внесении изменений в Постановление Правительства Чукотского автономного округа от 25 ноября 2014 года № 555"
Номер опубликования: 8700202407160002
Дата опубликования: 16.07.2024
Страница №6 из 31:
Увеличить