Официальное опубликование правовых актов
ОФИЦИАЛЬНОЕ ОПУБЛИКОВАНИЕ
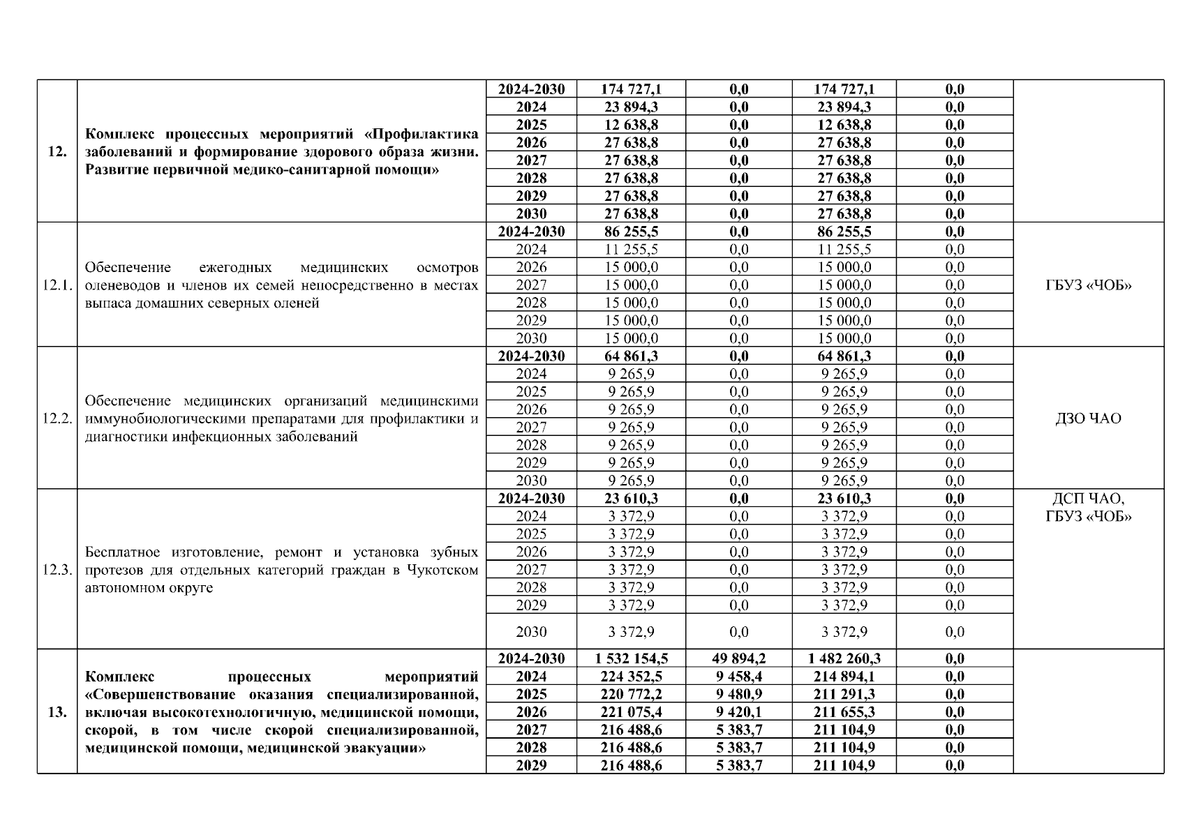
Постановление Правительства Чукотского автономного округа от 31.05.2024 № 181
"О внесении изменения в Постановление Правительства Чукотского автономного округа от 29 декабря 2023 года № 519"
Номер опубликования: 8700202406040004
Дата опубликования: 04.06.2024
Страница №7 из 19:
Увеличить