Официальное опубликование правовых актов
ОФИЦИАЛЬНОЕ ОПУБЛИКОВАНИЕ
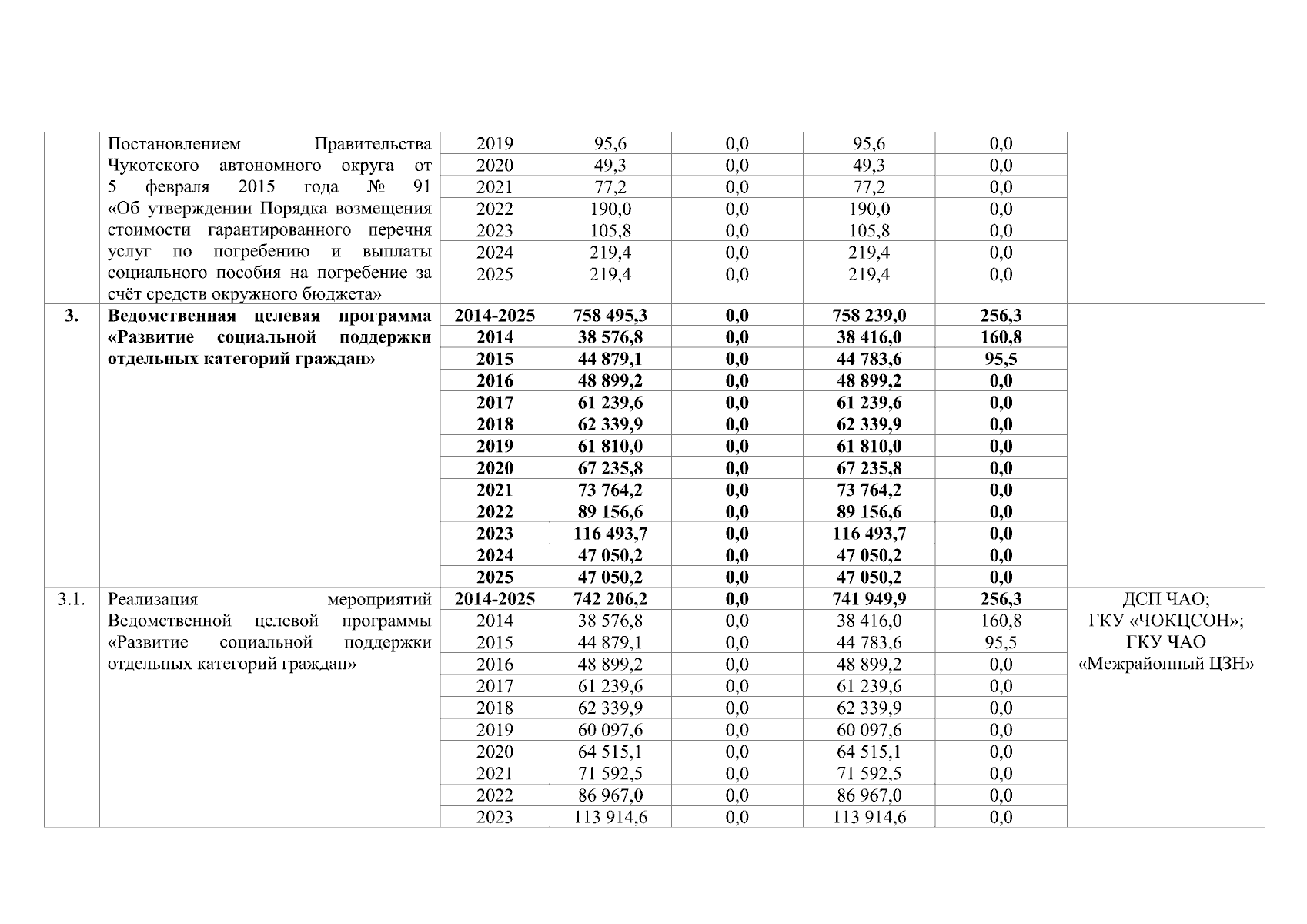
Постановление Правительства Чукотского автономного округа от 25.03.2024 № 113
"О внесении изменений в Постановление Правительства Чукотского автономного округа от 21 октября 2013 года № 404"
Номер опубликования: 8700202403260011
Дата опубликования: 26.03.2024
Страница №16 из 45:
Увеличить