Официальное опубликование правовых актов
ОФИЦИАЛЬНОЕ ОПУБЛИКОВАНИЕ
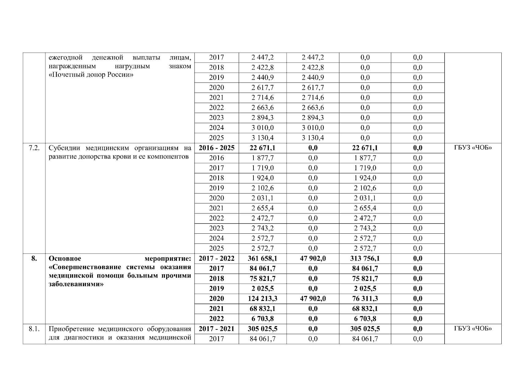
Постановление Правительства Чукотского автономного округа от 12.03.2024 № 96
"О внесении изменений в Постановление Правительства Чукотского автономного округа от 30 марта 2016 года № 151"
Номер опубликования: 8700202403140008
Дата опубликования: 14.03.2024
Страница №25 из 60:
Увеличить