Официальное опубликование правовых актов
ОФИЦИАЛЬНОЕ ОПУБЛИКОВАНИЕ
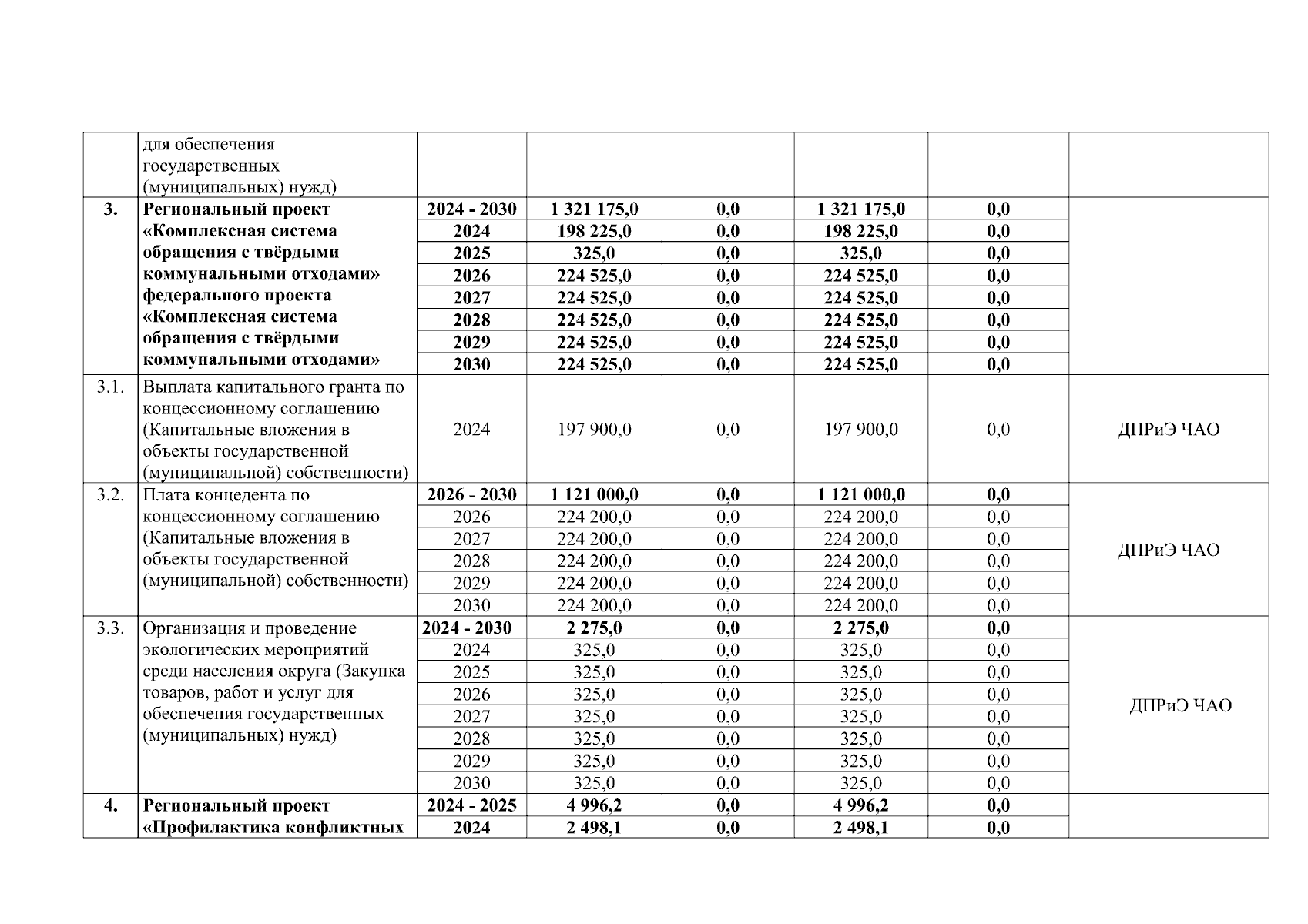
Постановление Правительства Чукотского автономного округа от 29.12.2023 № 526
"Об утверждении перечня расходных обязательств Государственной программы "Охрана окружающей среды и обеспечение рационального природопользования в Чукотском автономном округе"
Номер опубликования: 8700202401030015
Дата опубликования: 03.01.2024
Страница №4 из 12:
Увеличить