Официальное опубликование правовых актов
ОФИЦИАЛЬНОЕ ОПУБЛИКОВАНИЕ
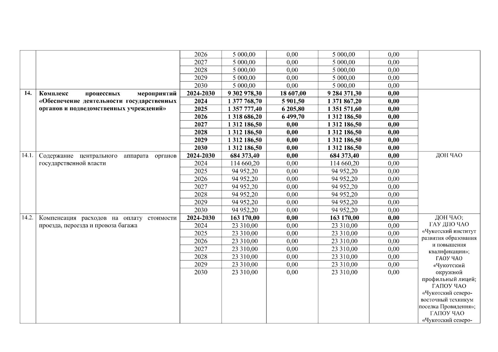
Постановление Правительства Чукотского автономного округа от 29.12.2023 № 536
"Об утверждении Перечня расходных обязательств государственной программы "Развитие образования и науки Чукотского автономного округа"
Номер опубликования: 8700202401030009
Дата опубликования: 03.01.2024
Страница №21 из 23:
Увеличить