Официальное опубликование правовых актов
ОФИЦИАЛЬНОЕ ОПУБЛИКОВАНИЕ
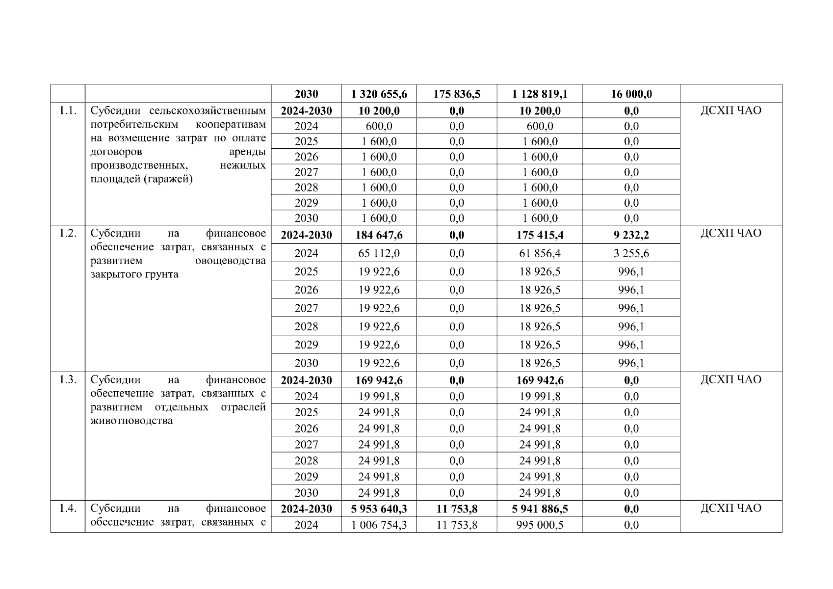
Постановление Правительства Чукотского автономного округа от 29.12.2023 № 537
"Об утверждении перечня расходных обязательств Государственной программы "Развитие агропромышленного комплекса Чукотского автономного округа"
Номер опубликования: 8700202401030006
Дата опубликования: 03.01.2024
Страница №3 из 17:
Увеличить