Официальное опубликование правовых актов
ОФИЦИАЛЬНОЕ ОПУБЛИКОВАНИЕ
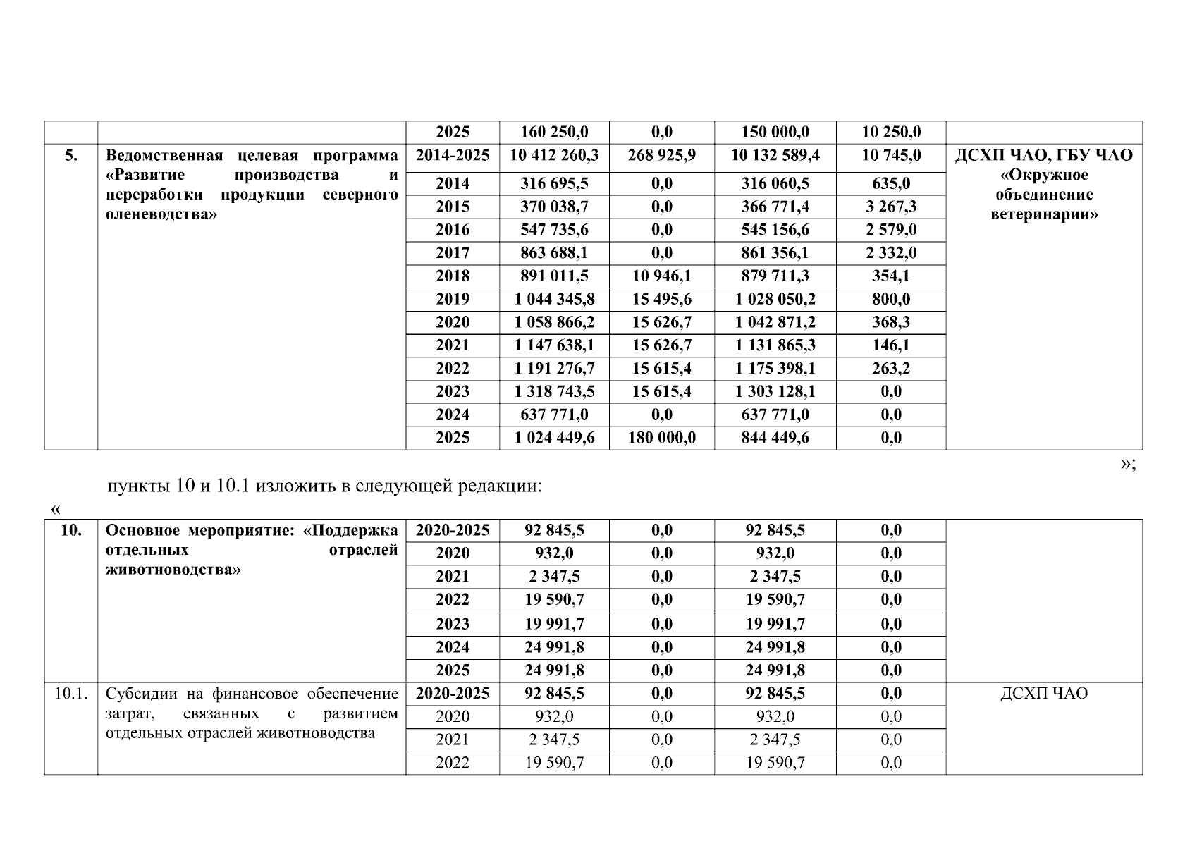
Постановление Правительства Чукотского автономного округа от 28.12.2023 № 503
"О внесении изменений в Постановление Правительства Чукотского автономного округа от 21 октября 2013 года № 411"
Номер опубликования: 8700202312300018
Дата опубликования: 30.12.2023
Страница №13 из 32:
Увеличить