Официальное опубликование правовых актов
ОФИЦИАЛЬНОЕ ОПУБЛИКОВАНИЕ
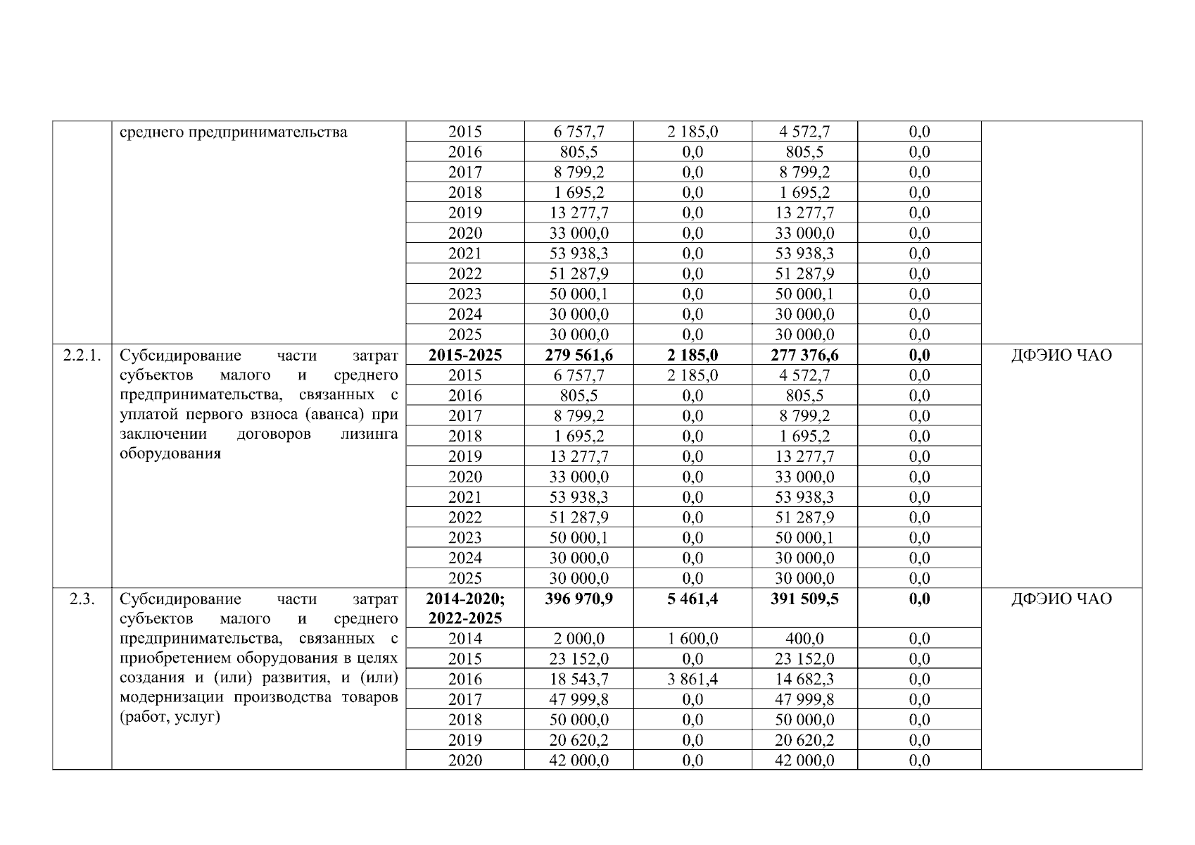
Постановление Правительства Чукотского автономного округа от 29.12.2023 № 505
"О внесении изменений в Постановление Правительства Чукотского автономного округа от 21 октября 2013 года № 410"
Номер опубликования: 8700202312300007
Дата опубликования: 30.12.2023
Страница №6 из 14:
Увеличить