Официальное опубликование правовых актов
ОФИЦИАЛЬНОЕ ОПУБЛИКОВАНИЕ
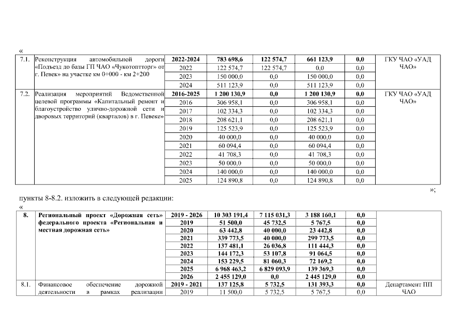
Постановление Правительства Чукотского автономного округа от 02.06.2023 № 243
"О внесении изменений в Постановление Правительства Чукотского автономного округа от 21 октября 2013 года № 405"
Номер опубликования: 8700202306060013
Дата опубликования: 06.06.2023
Страница №24 из 56:
Увеличить