Официальное опубликование правовых актов
ОФИЦИАЛЬНОЕ ОПУБЛИКОВАНИЕ
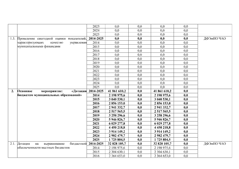
Постановление Правительства Чукотского автономного округа от 06.03.2023 № 129
"О внесении изменений в Постановление Правительства Чукотского автономного округа от 28 марта 2014 года № 142"
Номер опубликования: 8700202303070013
Дата опубликования: 07.03.2023
Страница №13 из 31:
Увеличить