Официальное опубликование правовых актов
ОФИЦИАЛЬНОЕ ОПУБЛИКОВАНИЕ
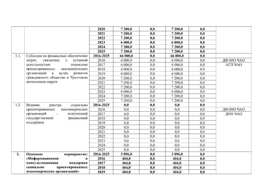
Постановление Правительства Чукотского автономного округа от 31.01.2023 № 46
"О внесении изменений в Постановление Правительства Чукотского автономного округа от 21 октября 2013 года № 410"
Номер опубликования: 8700202301310001
Дата опубликования: 31.01.2023
Страница №59 из 68:
Увеличить