Официальное опубликование правовых актов
ОФИЦИАЛЬНОЕ ОПУБЛИКОВАНИЕ
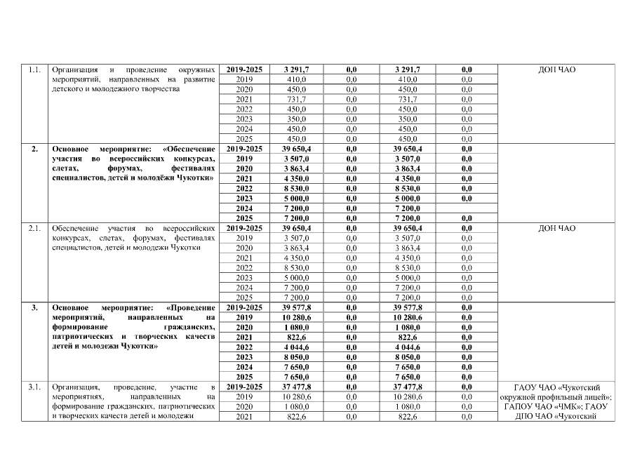
Постановление Правительства Чукотского автономного округа от 23.01.2023 № 29
"О внесении изменений в Постановление Правительства Чукотского автономного округа от 8 апреля 2019 года № 192"
Номер опубликования: 8700202301240002
Дата опубликования: 24.01.2023
Страница №45 из 77:
Увеличить